初级侧稳压/稳流(PSR)转换器广泛应用于
手机充电器和LED照明。这些转换器提供一个恒定电流(CC)、或一个恒定电压(CV)或恒定电流和恒定电压(CCCV)到输出负载。PSR转换器因为简化
电源设计而受到欢迎。事实上,对于一个反激变换器,输出电流从变压器原边控制,因而无需光耦及相关
电路(感测电阻、运放OPAMP等)。输出电流不是被直接测量,而是从由反激变换器本身产生的信号估测。控制器处理关于开关事件的信息,并生成控制变量,以保持输出电流恒定。因此,为提供准确的电流控制,输入到控制器的反激式转换器的波形需要清晰和准确。寄生
元件的影响,必须考虑到,并尽可能减少。更确切地说,PSR转换器中的检测电阻是个关键参数,因为它确定输出电流值。因此,必须为PSR恒流稳流器仔细挑选这检测电阻值和所采用的技术。
线绕检测电阻
一个电阻具有寄生元件,如电感和电容。根据不同的电阻技术,这些寄生元件各有不同。
有各种各样的电阻技术[ 1 ]。最常见的是:线绕、碳膜、金属膜、铝箔。每种技术都有它的优点和缺点。
例如,线绕电阻可能有非常严格的公差(0.01%)、低的温度系数,并且长时间保持稳定。但是,如果它们被用来作为检测电阻,表现出一种寄生电感,可影响输出电流调节。
我们将以一个具体的案例研究演示该寄生电感的影响。
我们有一个PSR反激式电路板使用NCL30082控制器,连接一个0.33 Ω线绕检测电阻,以提供500 mA恒定输出电流。采用该线绕电阻,所测得的输出电流仅为443毫安。
如果我们测量漏电流,并将它与检测电阻电压除以检测电阻值进行比较,我们发现有一个差异。电流和电压探头已被正确校准。图1显示了在实验设备上捕获的波形。
图1:PRS反激波形@ Vin = 162 V dc
在第一个光标处,我们测得:
-
Vsense = 585 mV
-
Ipri = 1.547 A
如果我们计算测量电压对应的电流,我们有:

注:
RPCB代表检测电阻之间印刷电路板(PCB)的走线对接地体电容的阻抗。在这个设计中,电路板的走线相当长。
在所测得的初级电流和由检测电阻转换的电流图像之间有约100毫安的差异。如果我们考虑由控制器测量的检测电压方面的问题,1.547 A的初级电流应该提供一个检测电压:

这代表电压差约:

线绕电阻可以建模为如图2所示。
Rdc代表直流电阻,
Lpar代表寄生电感值。通常情况下,还有一个与电阻模型相关的寄生电容,但我们在这里忽略不计,因为它不影响输出电流调节。
图2:简化的电流检测电阻模型
使用网络分析仪,我们测量了检测电阻的串联电感,在85千赫频率下,对应于转换器在162 V直流输入电压的开关频率。测得电感为110 nH。我们还采用网络分析仪AP300绘制
Rsense阻抗。阻抗的幅值和相位如图3所示。
图3: Rsense的阻抗曲线
我们可以清楚地看到当频率在10千赫到200千赫之间时的寄生电感信号,这正是转换器的开关频率范围。低于3千赫,我们只看到直流电阻。我们现在可以用下面的值更新检测电阻模型:
-
Rdc = 0.335 ohms
-
Lpar = 110 nH.
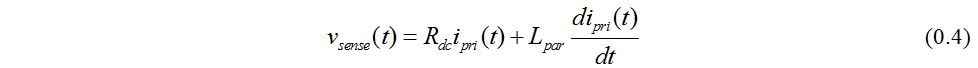
如果我们将检测电阻模型放进反激变换器(图4),当初级开关闭合(MOSFET导通),我们可以看到,
Lpar修改检测电压:

寄生电感人为地增加了检测电压,由于控制器的曲解,输出电流减小。的确,PSR控制器不能直接测量输出电流,但它通过接收到的信号估测输出电流值。由于检测电压有“误差”,此误差传至输出电流设定值。
图4:反激转换器在MOSFET导通时的电路原理图
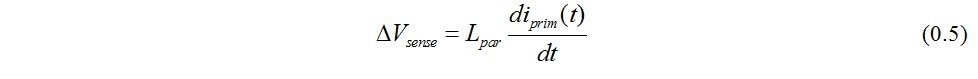
我们将由Lpar所造成的电压增加命名为ΔVSENSE:

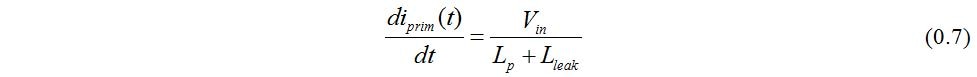
由于我们处于非连续导通模式,初级电流可写为:

与时间有关的初级电流的导数是:

因此检测电压差可写为:

利用网络分析仪HP4284A,我们测得变压器在85千赫的初级电感和漏电感:
-
Lp = 397.3 µH
-
Lleak = 7 µH (通过辅助绕组和次级绕组分别短路而测得)
现在我们可以计算在162 V直流电压由
Lpar引起的理论上的电压增加:

这个结果非常接近(.03)式中的38 mV检测电压差。
薄膜检测电阻贴片
薄膜电阻没有绕线类电阻那么严格的公差,它们有大的TCR(电阻温度系数)。但它们成本低,并提供最稳定的高频性能。
因此,原来的绕线检测电阻由0.33Ω贴片厚膜型取代。我们测量了检测电阻的实际值。我们发现:恰恰
RsenseSMD= 0.331Ω。我们在VIN = 162 Vdc时测量初级电流和检测电压(图5)。我们有:
-
Vsense = 0.5919 V
-
Iprim = 1.688 A
如果估算由
Rsense提供的初级电流的图像,我们发现:

由
Rsense提供的初级电流的图像等于测得的初级电流。在162 Vdc时的输出电流值为487毫安,而不是采用绕线检测电阻的443毫安。
图5:采用厚膜检测电阻在Vin = 162 V dc时的波形
最后得出结论,最好用薄膜贴片检测电阻(厚膜或薄膜)用于PSR恒流转换器。如果电源设计人员极其需要一个线绕电阻,那么本文可以帮助他了解输出电流偏差的原因。