BUCK
电路对于大多数
电源工程师来说并不陌生,都是耳熟能详的拓扑结构,资料也是一搜一大把,但是为啥我要在这里再次谈到BUCK变换器这种结构呢?可能大部分的资料内容细节上有遗漏,这篇文章从最基本的原理入手,一步步讨论BUCK变换器的工作模式、器件选型、案例分析。
一个降压转换器,基本上是一个方波发生器,后跟一个 LC 滤波器。 为了完善我们对转换器的理解,我们可以将开和关情况分开。 我们假设转换器采用电压控制。 在图 中,我们可以看到开关闭合时间内的电流。
开关闭合期间的导通电流路径:
在关断期间,电感电流保持同向循环:
导通期间:
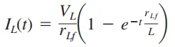
一旦 SW 闭合,L 中就会发生电流上升。 将电压 V 施加到受串联电阻器 rLf 影响的电感器 L 通常会产生一个指数电流,其变化遵循等式:

其中 VL 是施加在电感两端的电压,rLf 是电感串联电阻。由于串联电阻 rLf 显然很小,我们可以尝试展开上述公式。 我们得到常见的方程:

如果我们分析导通期间的降压,电感端子之一Vin(假设 SW 压降为零),而另一个直接连接到 Vout。 应用方程上述方程对这种情况意味着电流达到峰值,这是由 SW 闭合储能,即导通时间,表示为 ton。 就会得到以下方程:

当电流 IL 在电感中流动时,它还穿过电容器 C (IC) 和连接到输出的负载 (Iload)。 正如我们已经表明的那样,在平衡状态下,所有交流电(交流部分)将流入 C,而直流部分将流入 Rload。 了解这一现象将有助于我们评估输出电压纹波幅度。
关断期间:
电流已达到 ton 施加的值,PWM 调制器现在指示开关打开。 为了对抗其即将饱和的磁场,电感器需要将其电压反转。 由于感应电流仍然需要在某个地方流动,在相同的方向上,二极管被激活。 如果我们忽略二极管压降,电感左端接地,而右端是Vout。 电感谷电流 Ivalley 可以用方程来描述。

当新的时钟周期出现时,SW 再次关闭,我们最终在公共点 SW/D 上得到一个方波信号,在 Vin 和 0 之间摆动,并由 LC 滤波器进一步积分。 现在让我们通过
仿真来揭示所有波形。
BUCK——CCM:
为了全面了解降压操作,通过仿真波形进行分析:

波形 1(曲线 1)表示 PWM 模式,激活开关。 当开关 SW 导通时,Vin 出现在公共点 SW/D 上。 相反,当 SW 打开时,我们预计该节点会向负摆动。 然而,由于二极管 D 的存在,电感电流对其进行偏置,并出现负压降:这是续流动作。
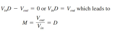
波形 3 描述了电感两端的电压如何演变。 根据上述方程,L 两端的平均电压在平衡时为零,这意味着 S1+S2=0。S1 对应于开启伏秒区域,而 S2 代表关闭伏秒区域。 S1 只是矩形高度 Vin-Vout 乘以持续时间 DTsw,而 S2 也是矩形高度 -Vout 乘以持续时间 (1-D)Tsw。 如果我们将 S1 和 S2 相加并在 Tsw 上取平均值,我们有

如果我们重新排列方程,我们将获得 CCM 中众所周知的降压直流传递函数 M:

在 CCM 中运行的降压转换器的直流转换比:

如果我们绘制此函数,以查看 Vout 如何随 D 演变,我们可以看到上述图中所示的线性变化。理想状态下,传输特性与输出负载无关。 稍后我们将看到它并不完全正确。
另一个基于零平均电感电压的简单技巧可以帮助加快传输比的确定。 首先,让我们写出瞬时电感电压VL

一个周期内上述等式可以表述为:

根据定义,Vout 由反馈回路保持恒定。 然而,公共点 SW/D 在 Vin(导通期间)和关断期间的 0 之间摆动。上述等式因此可以重新定义:

对底部波形的仔细观察显示了几件事。 首先,打开 SW 时会出现一个大尖峰。 这是因为开关通过将 Vin 施加到其阴极来残酷地中断二极管导通周期。 如果我们使用 PN 二极管,那么我们需要将晶体恢复到其电中性以阻止它。 这是通过去除所有少数载流子来完成的:二极管清除所有注入的电荷,需要一定的时间来恢复其阻断作用。 这段时间称为trr。 在二极管完全恢复之前,它表现为短路。 对于肖特基二极管,我们有一个金属-硅结,没有恢复效应。 然而,可能存在较大的寄生电容。 一旦放电(当二极管导通时),SW 迅速将 Vin 施加到该放电电容器上,并出现电流尖峰。 努力减慢开启 SW 转换将有助于降低尖峰幅度。
第二点与当前形状有关。 您可以在输出上观察到一个很好的纹波。我们说输出纹波是平滑的,“非脉动的”。 它意味着下游
电子电路更好地接受,意味着线路上的污染更少。 另一方面,输入电流不仅具有尖峰特征,而且看起来像方波。 如果 L 增长到无穷大,则形状将是真正的方波。 事实上它是一种“脉动”电流,携带大量污染频谱,比几乎正弦形状更难过滤。
作为总结,我们可以写一些与 CCM 降压转换器相关的评论:
• 由于D 被限制在1 以下,降压的输出电压总是小于输入电压(M<1)。
• 如果我们忽略各种欧姆损耗,转换比 M 与负载电流无关。
• 如前所述,通过改变占空比 D,我们可以控制输出电压。
• 在 CCM 模式中降压会带来额外的损耗,因为需要排出二极管反向恢复电荷 (trr)。 这被视为功率开关 SW 的额外损耗负担。
• 有非脉动输出纹波,但有脉动输入电流。
• 除非使用P 通道或PNP 晶体管,否则N 通道或NPN 的控制需要特殊电路,因为其源极或发射极浮动。
• 短路保护或浪涌限制是可行的,因为电源开关可以中断输入电流。