完善资料让更多小伙伴认识你,还能领取20积分哦, 立即完善>
电子发烧友论坛|
亲爱的所有我正在解决vna / pna如何计算单端口校准的错误条款,即EDF,ESF和ERF来自这里的定义[http://na.tm.agilent.com/pna/
caldefs / stddefs.html]。 我知道先生Joel P. Dunsmore先生在*“微波元件测量手册:先进的VNA技术手册”*中给出的公式(附件)。 我遇到的问题是负载的实际反射系数,开路和短路,因为我不知道* 85052C校准套件*的这些标准的响应。 如果我可以获得该套件的基于数据的校准文件,那么它将非常有用,但是这个套件在安捷伦网站上没有。 我可以得到的是开路和电感值的电容值,但我不知道如何使用它们来计算开路,短路和负载的实际(模型)反射系数值,以及 得到错误条款。 期待专家的帮助。 感谢你在期待。 以上来自于谷歌翻译 以下为原文 Dear all I am in a fix as to how a vna/pna calculates the Error Terms for a one port calibration namely EDF,ESF and ERF from the definations such as here [http://na.tm.agilent.com/pna/caldefs/stddefs.html] . I know the formula(attached) given in *"Handbook of Microwave Component Measurements: with Advanced VNA Techniques"* by sir Joel P. Dunsmore. The problem I am encountering are with the actual reflection coefficients of the load,open and short as I don't know the response of these standards of the *85052C Calibration Kit*. If I can get a data based calibration file for this kit then it would be very helpful but there is none for this kit on the agilent website. What is available to me are the capacitance values for open and inductance values for short,but I don't know how to use these to calculate the actual(model) reflection coefficient values for the open,short and load to put in this formula and get the Error terms. Looking forward for the experts help. Thanking you in anticipation. 附件
|
|
相关推荐
12个回答
|
|
|
获取应用笔记1287-11的副本。
它解释了cal常量的推导以及如何使用它们。 http://cp.literature.agilent.com/litweb/pdf/5989-4840EN.pdf Ken 以上来自于谷歌翻译 以下为原文 Get a copy of App Note 1287-11. It explains the derivation of the cal constants and how to use them. http://cp.literature.agilent.com/litweb/pdf/5989-4840EN.pdf Ken |
|
|
|
|
60user22 发表于 2019-3-1 18:07 是的,我已经读过了,但我仍然感到困惑,但我会更加专注于它。 感谢您及时回复。 此外,如果您阅读本应用笔记的第39页,数据库模型文件的格式包含s11数据,但也包含Uij,即加权因子,我不知道如何在方程中使用它。 以上来自于谷歌翻译 以下为原文 Yeah I've read that already but am still confused a little though but I'll concentrate on it harder. Thank you for your timely reply. Also if you read page 39 of this application note, the format of the databased model file contains the s11 data but also Uij i.e the weighting factor which I didn't understand how to use it in the equations. |
|
|
|
|
皮皮鲁鲁鲁皮 发表于 2019-3-1 18:14 这是基于数据的模型的加权不确定性。 我想,只需为所有值加上0.01即可。 如果软件可以在基于数据的模型的标准S1P文件中读取,那将是非常好的,但显然由于我不理解的量子效应这是不可能的.... 以上来自于谷歌翻译 以下为原文 That is the weighted uncertainty of the data based model. Just put in 0.01 for all values, I suppose. It would be wonderful if the software could read in standard S1P files for data based models, but apparently it is impossible due to quantum effects that I don't understand.... |
|
|
|
|
|
|
|
|
|
|
皮皮鲁鲁鲁皮 发表于 2019-3-1 18:14 Uij信息是数据的不确定性。 如果您没有任何不确定性数据,则可以为数据集的所有频率点输入小于0.1的有限值。 以上来自于谷歌翻译 以下为原文 The Uij info is the uncertainty of the data. If you don't have any uncertainty data, you can enter some finite value less than 0.1 for all frequency points of the data set. |
|
|
|
|
|
感谢大家的帮助。 以上来自于谷歌翻译 以下为原文 Thankyou all for your help. |
|
|
|
|
|
|
|
|
|
|
60user7 发表于 2019-3-1 19:19 戴夫,也许论坛服务器昨晚只是'打嗝',因为我的帖子似乎在我现在看的时候出现在帖子中。 我想澄清一下Barry的VNA Cal Kit Manager 2应用程序。 在公司批准开发该应用程序的时候,Barry已经为惠普工作了多年,所以是的,他已经了解了8510'CK_ *'文件和8753 / 872x'.ck'文件的二进制格式,以及 这些格式的编码不是公共信息。 此外,VNA Cal Kit Manager 2保存的'.ckm'二进制文件格式只能由VNA Cal Kit Manager 2软件读取,而应用程序保存的'.csv'文本文件也是特定于该版本的布局 应用。 虽然这些'csv'文件确实有许多与'.prn'cal kit文本文件相同的元素,PNA和我们的新VNA Cal Kit编辑器都可以保存。 顺便说一句,新的Cal Kit Editor还可以读入8510'CK_ *'文件和8753 / 872x'.ck'文件,虽然它不支持以这些格式保存,只保存与当前对应的格式 支持的安捷伦分析仪。 在即将推出的增强功能中,新编辑器也将开始支持ENA“.ckx”文件格式。 安捷伦的新“.xkt”格式是XML格式,因此可以根据需要使用文本编辑器或XML编辑器编辑这些文件的内容。 但是,如果'xkt'文件包含基于数据的校准标准及其响应数据,则默认情况下,Cal Kit Editor将基于数据的响应数据存储在XML中作为二进制块,以最小化文件大小而不是存储 文本形式的响应数据,其中包含围绕每个复杂值的XML节点。 以上来自于谷歌翻译 以下为原文 Dave, perhaps the forum server was just 'hiccupping' last night, because my post seems to be showing in the thread when I look at it now. I'd like to clarify a bit about Barry's VNA Cal Kit Manager 2 app. Barry had already been working for HP for years at the time he developed that app with company approval, so yes he had inside knowledge of the binary formats of the 8510 'CK_*' files and the 8753/872x '.ck' files, and the encoding of those formats is not public info. Also, the '.ckm' binary file format that VNA Cal Kit Manager 2 saves is readable only by the VNA Cal Kit Manager 2 software, and the '.csv' text files that application saves are also in a layout that is specific to that application. Although those 'csv' files do have many elements in common with the '.prn' cal kit text files that both the PNA and our new VNA Cal Kit Editor can save. By the way, the new Cal Kit Editor can also read-in 8510 'CK_*' files and 8753/872x '.ck' files, although it doesn't support saving in those formats, saving in just the formats that correspond to currently supported Agilent analyzers. In an upcoming enhancement the new editor will also begin supporting the ENA '.ckx' file format. Agilent's new '.xkt' format is an XML format, and so one could use a text editor or XML editor to edit the contents of those files if desired. However, in the case of an 'xkt' file that contains data-based cal standards and their response data, by default the Cal Kit Editor stores data-based response data within the XML as binary blocks to minimize the file size as opposed to storing the response data in text form with an XML node surrounding every complex value. |
|
|
|
|
|
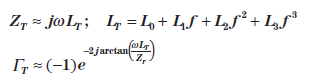
> {quote:title = junakh写道:} {quote}>我遇到的问题是负载的实际反射系数,开路和短路,因为我不知道* 85052C校准套件的这些标准的响应*
。 如果我可以获得该套件的基于数据的校准文件,那么它将非常有用,但是这个套件在安捷伦网站上没有。 >我可以得到的是开路和电感值的电容值,但我不知道如何使用这些来计算开路,短路和负载的实际(模型)反射系数值。 并获取错误条款。 我无法理解为什么基于数据的模型会对你有所帮助 - 对我来说这会使问题复杂化。 如果我理解你是什么,这是我认为你应该采取的方法。 偏移开路和偏移短路都可以被认为是长度为L的阻抗Zo的传输线,以任意阻抗Z_load终止。 传输线的长度L在校准套件数据中给出,延迟为2.92 x 10 ^ -11 s(29.2 ps),而不是物理距离。 可以使用以下公式找到传输线的物理长度L:距离=速度*时间= 29.2 10 ^ -12 * 3×10 ^ 8 = 8.76mm。 这是最简单的一点。 (在N cal套件的情况下,男性和女性的偏移延迟非常不同,但在3.5 mm套件的情况下不是这样)您可以在X = 2 Pi f L的情况下找到终止阻抗,在 抵消短。 对于偏移打开的情况,X = 1 /(2 Pi f C)这些都是频率相关的,因为*打开的Fringing电容取决于频率* short的电感取决于频率。 85052C中标准的电容和电感以三阶多项式给出。 C(f)= C0 + C1 * f + C2 * f ^ 2 + C3 * f ^ 3 L(f)= L0 + L1 * f + L2 * f ^ 2 + L3 * f ^ 3所以此时你知道 传输线的长度(8.76 mm),您知道频率相关的终端阻抗。 到目前为止它并不复杂! 更复杂的一点是找到看到长度为L的传输线的复阻抗,终止于Z_load的负载阻抗。 安捷伦为实际阻抗Zo提供传输线的复杂特征阻抗,该套件恰好为50欧姆,尽管在某些套件中不是50欧姆,例如85032B。 损耗以G欧姆/秒为单位表示,这总是让我觉得有点奇怪。 一个或多个安捷伦应用笔记涵盖了损耗条款,但如果我是正确的,那么其中一个应用笔记就会出现错误。 我认为8510 VNA是一个相当古老的版本,但我会从几个地方检查一下。 终止传输线的等式可以在任何数量的书籍中找到。 唯一的复杂因素是大多数书籍都有无损传输线的情况,但您需要将传输线视为有损传输线才能准确地进行传输。 损失通常用每米的Nepers表示,因此您需要将Agilents Ohm / s转换为每米Nepers。 不要问我怎么做,但这不是火箭科学。 一旦你知道了这一切,你应该能够找到一个方程式来描述偏移开路和偏移短路的任何频率的阻抗。 这有帮助吗,还是我误解了你? 我没有PNA,也不知道它想要什么格式的数据.85032C校准套件中没有错误信息,所以我猜你可以假设误差项是零,尽管安捷伦的一些评论 工作人员似乎表示你想为他们设置小值。 您可能很乐意通过将数字粘贴到线性模拟器中并让它完成所有工作来找到您想要的内容。 我相信安捷伦的先进设计系统(ADS)可以做到这一点,虽然它是一个破解核桃的大锤! 必须有1001个免费工具才能做到这一点。 顺便说一句,如果你确实设法按照所有方程式的方式工作,也许你可以发布它们是什么的摘要,以及你从哪里得到它们! 我可以看到人们如何处理这个问题,虽然我不知道所有的方程式,但数学从来不是我最强的主题。 戴夫,G8WRB 以上来自于谷歌翻译 以下为原文 > {quote:title=junakh wrote:}{quote} > The problem I am encountering are with the actual reflection coefficients of the load,open and short as I don't know the response of these standards of the *85052C Calibration Kit*. If I can get a data based calibration file for this kit then it would be very helpful but there is none for this kit on the agilent website. > What is available to me are the capacitance values for open and inductance values for short,but I don't know how to use these to calculate the actual(model) reflection coefficient values for the open,short and load to put in this formula and get the Error terms. I can't understand why a data based model would help you - to me it would complicate the matter. IF I understand what you, this is the approache I think you should take. Both the offset open and the offset short can be considered as a transmission line of impedance Zo, of length L, terminated in an arbitrary impedance Z_load. The length L of the transmission line is given in the cal kit data as a delay of 2.92 x 10^-11 s (29.2 ps) rather than a physical distance. One can find the physical length L of the transmission line using the formula: Distance = velocity * time = 29.2 10^-12 * 3 x 10^8 = 8.76 mm. That's the easiest bit. (In the case of N cal kits, the offsets delays of the males and females are very different, but not in the case of the 3.5 mm kits) You can find the terminating impedance from X = 2 Pi f L, in the case of the offset short. X = 1/(2 Pi f C) for the case of the offset open These are both frequency dependant, since * Fringing capacitance of open is frequency dependant * Inductance of short is frequency dependant. The capacitance and inductance for the standards in the 85052C are given in terms of a third order polynomial. C(f) = C0 + C1*f + C2*f^2 + C3*f^3 L(f) = L0 + L1*f +L2 * f^2 + L3 *f^3 So at this point you know the length of the transmission line (8.76 mm), and you know the frequency dependant termination impedance. So far it is not that complicated !! The more complicated bit comes in finding the complex impedance seen looking into a transmission line of length L, terminated in a load impedance of Z_load. Agilent give the complex characteristic impedance of the transmission line in terms of a real impedance Zo which happens to be 50 Ohms for that kit, although it is not quite 50 Ohms in some kits, such as the 85032B. The loss is expressed in units of G Ohms/second, which has always struck me as a bit of an odd unit. One or more of the Agilent application notes cover the loss term, although if I'm correct, one of the application notes has an error at that point. I think it is a fairly old one about the 8510 VNA, but I would check that from a couple of places. The equations for a terminated transmission line can be found in any number of books. The only complication is most books will have the case of a transmission line which is lossless, but you need to consider the transmission line as a lossy one to do it accurately. The loss will usually be expressed in Nepers per metre, so you would need to converts Agilents Ohm/s to Nepers per metre. Don't ask me how to do that, but it can't be rocket science to do it. Once you know all that lot, you should be able to find an equation which describes the impedance at any frequency for both the offset open and offset short. Does that help at all, or have I mis-understood you? I don't have a PNA, and don't know exactly what format it wants the data in. There is no error information in the 85032C cal kit, so I guess you can assume the error terms are zero, although some comments from Agilent staff seem to indicate you want to put small values for them. You might be happy to find what you want by sticking the numbers into a linear simulator and letting it do all the work. I'm sure Agilent's Advanced Design System (ADS) could do that, although it is a bit of a sledgehammer to crack a walnut! There must be 1001 free tools able to do that. BTW, if you do manage to work your way through all the equations, perhaps you can post a summary of what they are, and where you got them from! I can see how one might approach the problem, although I don't know all the equations, and maths never was my strongest subject. Dave, G8WRB |
|
|
|
|
60user7 发表于 2019-3-1 19:49 亲爱的戴夫首先感谢您的广泛回复。 首先让我澄清一下我想做什么。 实际上我将使用较旧的VNA来测量一个端口设备的S11,我将在MATLAB上使用我自己的软件(代码)手动进行校正。 为此我需要校准术语,对于一个端口,即指向性,反射跟踪和源匹配,即EDF,ERF和ESF。 现在Dr.Joel的书中提到,首先我需要对校准套件LOAD,OPEN和SHORT进行三次单独测量,并将它们命名为S11M(负载),S11M(开路)和S11M(短路)。 除了测量项之外,所使用的校准标准的理想或模型S11被命名为S11A(负载),S11A(开路)和S11A(短路)。 然后使用我在第一篇文章中附带的公式计算三个错误条款。 这里EDF,ESF,ERF由A,B,C代替。 我实际上想要基于数据的S11A值,所以我可以直接将它们放在公式中并计算误差项。 无论如何这些都不可用,另一种选择是你提到的找到标准S11A的方法。 现在我研究了安捷伦的应用笔记1287-11,它描述了如何计算这些标准的S11,但我不确定使用哪个方程式。 我附上了一些数据供你查看。 请仔细阅读并告诉我如何继续。 eq1.PNG23.9 KBeq2.PNG18.6 KBeq3-short.PNG6.8 KBeq4-open.PNG7.2 KBS11.PNG5.8 KB 以上来自于谷歌翻译 以下为原文 Dear Dave First of all thank you for the extensive reply. First let me clarify what I want to do. Actually I will be using an older VNA to measure S11 of one port devices and I will do the correction manually using my own software(code) on MATLAB. For that I need calibration terms which for one port are namely Directivity, Reflection Tracking and Source match i.e. EDF,ERF and ESF. Now Dr.Joel's book mentions that first I need to take three separate measurements of a calibration kit LOAD,OPEN and SHORT and name them S11M(Load),S11M(open) and S11M(short). In addition to the measured terms, the ideal or model S11 of the Calibration Standards used which are named S11A(Load),S11A(open) and S11A(short). Then the three Error Terms are calculated using the formula attached in my first post. Here EDF,ESF,ERF are replaced by A,B,C. I actually wanted the data based values of S11A so I could directly put these in the formula and calculate the error terms. Anyway these are not available and the other option is the method you have mentioned to find the S11A of the standards. Now I have studied Agilent's Application Note 1287-11 which describes how to calculate S11 for these standards but I'm not sure which equation to use. I have attached some figures for you to see. Kindly go through them and tell me how to proceed. 附件
|
|
|
|
|
|
应用笔记1287-11的附录B解释了偏移值与通用传输线电路元件之间的关系 - R,L,G和C.注意,偏移损耗和偏移延迟项都是由介电常数的根来定标的
。 如果两个术语使用相同的介电常数值,则无需定义介电常数。 偏移损耗只是分布式R项乘以传输介质中的光速。 应用笔记中的公式1.4是最终答案。 其他方程定义了需要替换回方程1.4的变量。 如果你有偏移损失,偏移延迟,偏移Zo定义,那么应该合理地直接替代等式中的值来得到Gamma(i)。 以上来自于谷歌翻译 以下为原文 Appendix B of App Note 1287-11 explained the relationship between the offset values and the generic transmission line circuit elements - R, L, G, and C. Note that both the offset loss and offset delay terms are scaled by the root of dielectric constant. If both terms use the same dielectric constant value, there is no need to define the dielectric constant. Offset loss is just the distributed R term multiplied by the speed of light in the transmission media. Equation 1.4 in the app note is the final answer. The other equations define the variable that need to be substituted back to equation 1.4. If you have the offset loss, offset delay, offset Zo defintions, it should be reasonably straight forward to substitue the values in the equations to get Gamma(i). |
|
|
|
|
60user22 发表于 2019-3-1 20:20 谢谢大家的及时帮助!! 以上来自于谷歌翻译 以下为原文 Thank you all for your timely help!! |
|
|
|
|
只有小组成员才能发言,加入小组>>
1844 浏览 0 评论
2739 浏览 1 评论
2640 浏览 1 评论
2449 浏览 5 评论
3458 浏览 3 评论
1845浏览 0评论
417浏览 0评论
/9
小黑屋| 手机版| Archiver| 电子发烧友 ( 湘ICP备2023018690号 )
GMT+8, 2025-12-2 11:11 , Processed in 0.919427 second(s), Total 66, Slave 58 queries .
Powered by 电子发烧友网
© 2015 bbs.elecfans.com
关注我们的微信
下载发烧友APP
电子发烧友观察
版权所有 © 湖南华秋数字科技有限公司
电子发烧友 (电路图) 湘公网安备 43011202000918 号 电信与信息服务业务经营许可证:合字B2-20210191

淘帖
2887